Nature was a human’s primary inspiration, and it provides optimised solutions for real-world challenges (Kongkaew, 2017). Since many centuries, biological procedures and techniques have influenced the science and technology. Natural systems have many characteristics that inspire applications, such as self-organisation, flexibility, simplicity and dynamics (Sindhya, 2012). Similarly, nature-inspired algorithms provide optimised solutions for real and visual world challenges. Further, due to the increase in size and complexity of the problems, it requires hours to develop the technique that provides an acceptable solution in a reasonable amount of time. Hence the nature-inspired algorithms are developed for the real world bigger and more complex problems. It provides optimisation solution randomly, where the optimisation process begins with a set of random solutions. The primary solutions are then combined, moved, or evolved over several pre-defined steps.
Nature-inspired computing algorithm has become a new paradigm for optimisation, computer intelligence, data mining and machine learning with various applications (Mirjalili, Mirjalili, & Hatamlou, 2016). Some common inspired algorithm are Genetic Algorithm (GA), Bat Algorithm (BA), Particle Swarm Optimization (PSO) Algorithm, Gray Wolf Optimizer (GWO), Ant Colony Optimization (ACO), Ant Lion Optimizer(ALO), Firefly Algorithm(FA) and Artificial Bee Colony(ABC) Algorithm. These algorithms are inspired by the social natural behaviour of animals, birds and insects. Here in this blog, the research is about the Nature-inspired algorithm – BAT algorithm.
Bat Algorithm (BA)
The Bat Algorithm (BA) was proposed in 2010 by xin-she yang, the algorithm is inspired by nature and it is also called a nature-inspired algorithm (Al-Betar & Awadallah, 2018; Fister, Yang, Brest, & Fister, 2013). Bat algorithm is also a metaheuristic algorithm developed based on swarm intelligence algorithm. Where the algorithm is designed based on the echolocation of the bats. Bat identify the obstacles or prey using the sonar echoes, and if it finds the obstacles, it will avoid it. Sound pulses converted to frequency and it is used for obstacle-reflection. For navigation, the bats use the time delay from emission to reflection. Figure 1, represents the echolocation of the bats.

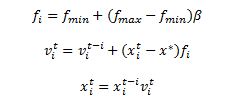
The bat transforms the pulse to useful information to find the prey distance. The pulse rate is calculated merely in the interval from 0 to 1, where 0 implies no emission and 1 indicates the peak emission of the bat. With the frequency (f) the echo signal is sent, and it is used for the distance calculation. The Bats fly randomly at velocity (vi) with a fixed frequency (fmin) at position (xi), irregular wavelength (π) and loudness (A0) to find prey. Depend on the proximity of the target, it automatically regulates the emitted pulse wavelength and regulates the pulse emission r[0,1] rate. Now, new solutions are generated by moving virtual bats as per the following equations:

where β random vector[0,1 ] is derived from a uniform distribution. After all the solutions were compared among all the bats, the global best solution(location) is found (x*) and the equation is

Where ? ∈[-1,1] is a random number,
Once the bat finds the pray, the loudness will be reduced, when the pulse emission rate increases then loudness can be selected as any comfort value. The detail of the bat algorithm is given in .

Conclusion
Hence we can conclude that Nature-inspired algorithms are the most strong optimisation algorithms.The nature-inspired optimised BAT algorithm has the ability to automatically zoom to an area and discover promising solutions. When the optimal solution is approaching, then algorithm automatically switches from exploration to exploitation. To solve the problems the BA uses the frequency tuning and echolocation technique. In reality the echolocation is not used much but imitate the real function. BA uses the vast library to find the best solutions, hence the library is vast the solutions are accurate. When compared to other nature-inspired algorithms like genetic algorithm,BA is flexible, simple and easy to implement. It effectively solves non-linear issues and a wide variety of issues and also solves complex issues with the best solutions in quick time. It is used in the optimization of engineering design, inverse problems and parameter estimation. It is also used to solve the Transport Network Design Problem. Limitation: At the early phase, the bat algorithm converges very fast and then the pace of convergence has slowed down. There is no mathematical analysis linking the parameters to the rates of convergence. Improvements should be made in the future to discover the converge thrown out the application. In the future, we can use the Bat Algorithm for enhancement to design ship and aircraft components in the engineering sector such as naval architecture and aircraft design engineering.
- Al-Betar, M. A., & Awadallah, M. A. (2018). Island bat algorithm for optimization. Expert Systems with Applications, 107, 126–145. https://doi.org/10.1016/j.eswa.2018.04.024.
- Fister, I., Yang, X. S., Brest, J., & Fister, D. (2013). A brief review of nature-inspired algorithms for optimization. Elektrotehniski Vestnik/Electrotechnical Review, 80(3), 116–122. Retrieved from https://arxiv.org/pdf/1307.4186.pdf.
- David J. Deming, (2017), “The Growing Importance Of Social Skills In The Labor Market”.
- Kongkaew, W. (2017). Bat algorithm in discrete optimization: A review of recent applications. Songklanakarin Journal of Science and Technology, 39(5), 641–650. https://doi.org/10.14456/sjst-psu.2017.79.
- Mirjalili, S., Mirjalili, S. M., & Hatamlou, A. (2016). Multi-Verse Optimizer: a nature-inspired algorithm for global optimization. Neural Computing and Applications, 27(2), 495–513. https://doi.org/10.1007/s00521-015-1870-7.
- Sindhya, K. (2012). An Introduction to Nature Inspired Algorithms. Retrieved September 12, 2019, from http://users.jyu.fi/~jhaka/opt/An_Introduction_to_Nature_Inspired_Algorithms.pdf.